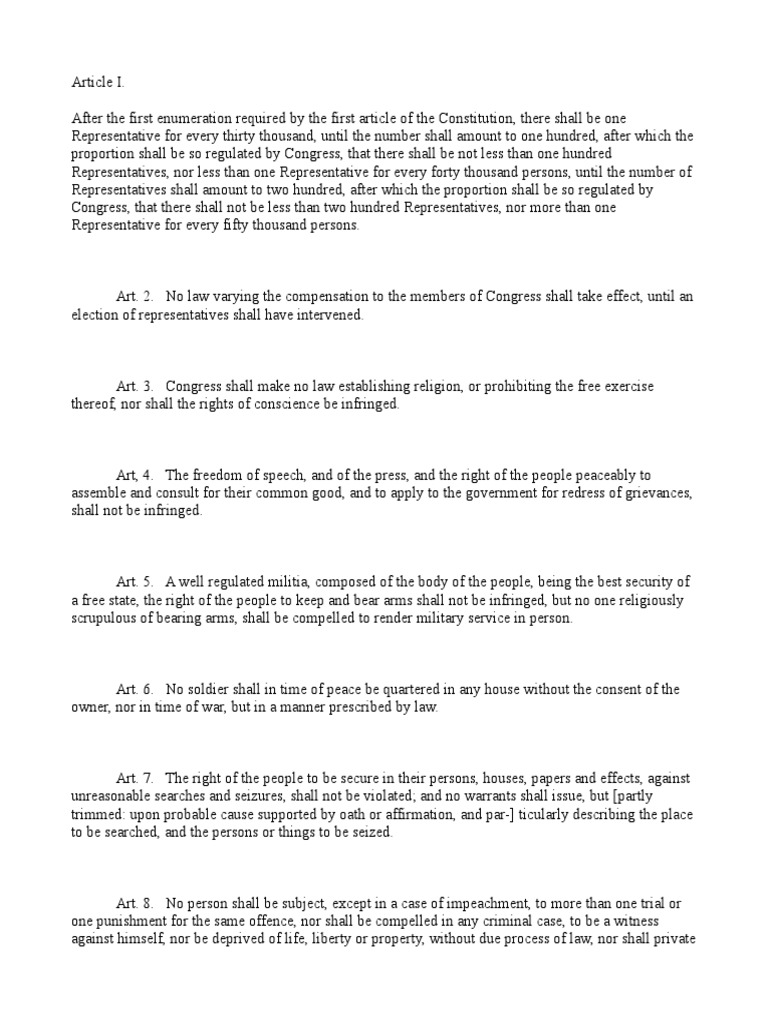
Amendments of usa July 8, 2019 16 32 64 128 Amendments of us constitution All amendments of usa Us 10 amendments List of us amendments Amendments usa wiki 27 amendments of usa 5 amendments of usa Us first 10 amendments